Optunaでハイパーパラメータチューニング

2022/03/01

意外と難易度が高いモデルのハイパーパラメータチューニング。

チューニングするべきパラメータとその範囲についてよく考える必要があるし、実行時間もたくさん必要だから気軽にトライ&エラーを繰り返すのも難しい。

どちらかというと面白くないステップの作業だし面倒くさいって思いがちだよね。社内のチューニング職人的なすごい人に任せっきりだったり。

実際、頑張っても数%の精度向上にしかならないことも多いからコスパが悪い気がしちゃうけど分類性能が0.1%向上するだけで世界が変わってくるような状況だと向き合わざるをえなくなってくる。

月間数億円の予算に対してモデルの性能分のコストがダイレクトに削減できる場合とか、Kaggleなどのコンペで団子状態の時とか。

そんな時の強い味方!大好きなハイパーパラメータチューニングフレームワークのOptunaを紹介するよ。

ハイパラに限らず色々応用できる最適化フレームワークだから使いこなせるようになるとめっちゃ便利!

Optunaの概要

Optuna

optuna

Optunaは株式会社Preferred Networksが2017年に発表してくれたハイパーパラメータチューニング用のフレームワークで、主にベイズ最適化の一種のTPE (Tree-structured Parzen Estimator)と呼ばれるアルゴリズムを使って最適な値の探索を行なってくれるというもの。

パラメータを色々変えながらモデルを学習させてみて「あるパラメータがある値の時スコアはこうだった」っていうのを逐一観測しながらスコアが良くなりそうな値を効率良く探してくれるといったもので、言わば賢いランダムサーチみたいな感じ。

ここで「効率良く」と言っても結局ランダムサーチと違うの?って思うかもしれない。

これはOptunaに限らず全てのパラメータサーチに言えることなんだけど、探索に使える時間が膨大にあるという前提においては結局ランダムサーチを上回る手法は存在しないということが証明されてるんだよね。

パラメータの取りうる範囲全ての組み合わせについて総当たりで結果を確認すれば必然的にその中に最適値がある、と考えればイメージしやすい?良く考えてみればすごく当たり前なことだよね。

ただ実際には現実的に探索に使える時間は限られてるわけで。

そこで、限られた時間(リソース)の中でどれだけ効率良く最適解に近づくかっていうのがチューニングフレームワークの主な役割になってくる。

Optunaも前提としてランダムサーチより良い結果を保証するものってわけではなくて、単位時間あたりの到達点をより最適解に近づけるための確率的な手法を提供してくれるものだと思っておこう。

探索に使える時間に制限がある中で出来るだけ良い値を見つけたい時に特に重宝する、って感じかな。た、多分ね。

TPE含む最適化アルゴリズムとその比較についてはこの論文に色々載ってるから興味ある人はチェックしてみてね。

Algorithms for Hyper-Parameter Optimization

基本の使い方

使い方を順を追って紹介していくよ。インストールはこう。

pip install optuna

この記事を書いてるタイミングの最新版は2.10.0。(もしかしたらアップデートで記事の内容が古くなってるかもしれないことに注意してね)

まずは一番簡単な例として「二乗した値が一番小さくなる時の変数xの値」を-10 ~ 10の範囲で探索するコードから。

import optuna

def objective(trial: optuna.Trial):
    x = trial.suggest_uniform("x", -10.0, 10.0)
    return x ** 2

study = optuna.create_study()

study.optimize(objective, n_trials=100)
## 一番良かった値
study.best_value
# => 0.00000001

## その時のパラメータ
study.best_params
# => {"x": 0.0001}

まずパラメータを最適化したい関数をobjectiveとして用意する。

その関数をStudyインスタンスのoptimizeメソッドに与えることでn_trialsで指定した回数だけパラメータを探索しながら試行してくれて、best_paramsbest_valueにそれぞれ結果が格納される。

パラメータはデフォルトだと関数の出力値が最小化される方向に最適化されるよ。最大化したい時はcreate_study()時にdirection="maximize"を指定すればOK。

この例だと最小値は0だからなるべく0に近い出力が得られるxの値を探してくれる。

なんとなくわかると思うけど、パラメータの名前と範囲はobjectiveに渡されてくるTrialインスタンスsuggest_*系メソッドを使って指定する仕組み。

めっちゃ簡単だね!

例ではxが0の時に解が最小となるのが自明すぎて感動薄いけど、ここにモデルを学習するコードを入れてRMSELogLossなんかの評価関数の出力値をreturnするようにすればそのままハイパーパラメータの探索になるってわけ。

↓参考までにLightGBMのチューニング例。なんとなく雰囲気わかる?

def objective(trial: optuna.Trial):

    # bagging_fractionの最適値を0.1~1.0の範囲で探索
    bagging_fraction = trial.suggest_uniform("bagging_fraction", 0.1, 1.0)

    # bagging_freqの最適値を1~100の範囲で探索
    bagging_freq = trial.suggest_int("bagging_freq", 1, 100)

    # feature_fractionの最適値を0.1~1.0の範囲で探索
    feature_fraction = trial.suggest_uniform("feature_fraction", 0.1, 1.0)

    params = {
        **base_params,
        "verbosity": -1,
        "bagging_fraction": bagging_fraction,
        "bagging_freq": bagging_freq,
        "feature_fraction": feature_fraction,
    }

    dataset_train = lgbm.Dataset(df_train[x_cols], df_train[y_col])
    dataset_valid = lgbm.Dataset(df_valid[x_cols], df_valid[y_col], reference=dataset_train)

    booster = lgbm.train(
      params,
      dataset_train,
      valid_sets=dataset_valid,
      num_boost_round=1000,
      callbacks=[lgbm.early_stopping(100, verbose=False),],
    )

    return booster.best_score["valid_0"]["binary_logloss"]

study = optuna.create_study()

study.optimize(objective, n_trials=100)
study.best_score
# => 0.0031234

study.best_params
# => {
#     "bagging_fraction": 0.7890123,
#     "bagging_freq": 10,
#     "feature_fraction": 0.6789012,
# }

雑すぎるって怒られそうで言うのが怖いんだけど、本当に関数とパラメータだけ用意すれば最適化できちゃうから良い感じの組み合わせを求めたい時は何でもえいっとOptunaに任せるだけですごくそれっぽい答えを出してくれたりする。

Nelder-MeadPowellレベルの便利さ。最高だね。

ある関数が最小となるパラメータの値を求めたい & ちゃんと計算して綺麗に求める方法がありそうな気はするけど頭が悪すぎて全然わからない時ってない?自分はいつもそう割とある。

使えるsuggest系メソッド

探索するパラメータの範囲を指定するために用意されてるsuggest系メソッドの一覧は2.10.0の時点だとこんな感じ。

パラメータの種類によって使い分けよう。range関数と同じでlowの値は含まれるけどhighの値は含まれないことに注意。

suggest_uniform(name, low, high)

  • float型
  • 線形空間からサンプリング

suggest_loguniform(name, low, high)

  • float型
  • 対数空間からサンプリング
    • 小さい値の範囲ほど密に探索されて大きいところはその逆になる
    • 例えば1~10の範囲では1,2,3,4,5,6,7,8,9って細かく試してみて欲しいけど100~200では100, 140, 180とかざっくり試すだけで良いみたいなパラメータに使う

suggest_discrete_uniform(name, low, high, step)

  • float型
  • stepで指定した間隔に従ったサンプリング

stepが指定されている時はサンプル範囲にhighの値が含まれることに注意しよう。

例) low = 1.0 high = 1.5 step = 0.1の時のサンプル候補は1.0 1.1 1.2 1.3 1.4 1.5

suggest_float(name, low, high, step = None, log = False)

  • float型
  • suggest_uniform suggest_loguniform suggest_discrete_uniform のラッパー
    • log = True の時はsuggest_loguniform
    • stepが指定されている時はsuggest_discrete_uniform
    • どちらも指定されていない時はsuggest_uniform
    • steplogを同時に指定することは出来ない

suggest_int(name, low, high, step = 1, log = False)

  • int型
  • 線型空間からサンプリング
  • step logの動作はsuggest_floatと同じ

suggest_categorical(name, choices)

  • 任意のリストchoicesの要素から1つ選択 (boolやstrなど数値以外でも可)
    • 例) boosting = trial.suggest_categorical("boosting", ["gbdt", "goss", "dart", "rf"])

探索状況の保存と再開

Optunaではあるパラメータ(たち)の一連の最適化を1まとめにした単位をStudy、その中の1回の試行をTrialっていうんだけど、このStudyには最適化の探索状況を保存しておいて共有したり後から再開したりする機能がある。

特に指定しないと最適化の状況はメモリ内に保持されるから毎回実行する度にまっさらな状態から探索が始まるよね。例に示したコードもそう。

create_studyする時のstorageオプションにDBのuriを指定するとそのDBに最適化の状況が保存されるようになるよ。

ローカルで使うだけならSQLiteを指定すれば何も準備しなくてOKだし、リモートサーバ上のMySQLPostgreSQLなんかに接続すれば複数のマシンで進捗を共有しながら並列に最適化を走らせることも出来る。

SQLite

SQLiteというのは単一のバイナリをストレージの基本単位として扱う便利なスタンドアロン型のRDBなんだけど、初見の人は今回は「ノー準備で使えるローカル専用の便利なDB」ぐらいに思っておいてOKだと思う。

SQLiteインターフェースはPythonにデフォルトで備わっててすぐに使えるし、過去の探索を後から見返したり再開したりできると結構便利だからローカルだけで使う場合も最低限SQLiteを使った永続化はしておくようにしよう。

後述するダッシュボードを使った状況の可視化もできるようになるしね。

study = optuna.create_study(
    storage="sqlite:///optuna.sqlite3",
    study_name="lgbm-params",
    load_if_exists=True,
)

これでカレントディレクトリにoptuna.sqlite3というSQLite3形式のDBファイルが作成されて進行状況が保存されるようになる。

storageを指定する時はStudyを特定するためのstudy_nameも適宜設定する必要があることに注意しよう。

既にDBに同名のStudyが存在する場合の読み込みと再開を許可するオプションのload_if_existsTrueにするのも忘れないように。

この状態でoptimize()を実行すると実行するたびに100回, 200回, 300回と前回の続きから最適化が行われるようになるよ。

# 一度終了しても関係なく引き続き最適化が走る
study.optimize(objective, n_trials=100)

ちなみにコラボ環境で複数のNotebookからマウントしたGoogle Drive上のSQLiteファイルを指定すればDBサーバ要らずの並列最適化が出来る気がしてしまうけど、これやると上手くいかないどころかSQLiteファイル自体ぶっ壊れることがあるからマジで注意してね。

これはコラボとかGoogle Driveが問題なんじゃなくてSQLiteが実現してるファイル単位の整合性担保がOSのファイルシステムのロック機構に依存した仕組みになってることが理由みたい。

SQLiteの公式サイトにも「ネットワーク経由で動作するファイルシステムはロック周りの挙動が絶対何かしらバグってるからSQLiteうまく動かないよ」って書いてあった。

SQLite uses reader/writer locks to control access to the database. (Under Win95/98/ME which lacks support for reader/writer locks, a probabilistic simulation is used instead.) But use caution: this locking mechanism might not work correctly if the database file is kept on an NFS filesystem. This is because fcntl() file locking is broken on many NFS implementations. You should avoid putting SQLite database files on NFS if multiple processes might try to access the file at the same time.

「Windows 95, 98, MEにはファイルのロック機構が無いから確率的にシミュレートして代用してるよ」とも書いてあるけど、どゆこと?? そんなことできる??

複数マシンで並列化したい時は素直にどこかにDBサーバを用意しよう。

Prunerで早期に枝刈り

例えばモデルの学習だと割と早期に「あ、このパラメータ全然ダメっぽいな」って判断できることあるよね。

初期に損失が減少するペースが遅すぎて収束まで待っても確実に微妙な精度にしかならなそうな時とか。

Optunaにも探索をより効率化するためにダメそうな試行を早期に打ち切って次に進むPrune(枝刈り)という機能があって、Prunerという仕組みを使って簡単に実現することが出来る。

代表的なPruner

あるエポックやイテレーションの時点で過去の試行の中央値に届いていなければ打ち切るMedianPrunerが代表例。他にも色々なルールのPrunerが用意されてるよ。

個人的にはこのPrunerの使いやすさもOptunaの一押し便利ポイント!ダメそうな組み合わせをどんどん飛ばして良さげなものに注力できるって素晴らしいよね。

と言っても途中で打ち切りをするってことは当然最初はダメでもその後挽回して良いスコアに達していたはずの試行まで捨ててしまうことになる。

早期に打ち切れば打ち切るほどそのリスクは増えるし、逆に打ち切り判定を遅らせれば遅らせるほど今度は無駄な時間を使ってしまうリスクが増える。

そもそも扱ってるモデルは後から挽回する可能性がほぼ無いような学習曲線のものなのか、それがワンチャン全然ありえるモデルなのか。

リスクをどう考慮するかはそういったモデルの学習の性質にもよるんだけど、Optunaにはこの部分のバランスに着目したPrunerなんかもあるから紹介したいと思う。

Prunerの基本

まずは超基本の使い方から。

これもstorageの時と同じくcreate_study()prunerオプションに指定する形で使うよ。

MedianPrunerのコード例はこんな感じ。

study = optuna.create_study(
    pruner=optuna.pruners.MedianPruner(),
)

Studyを作る時はこれだけでOKなんだけど、学習の進捗に応じて打ち切りを決定するっていうPrunerの性質上どうしても学習の進捗をOptunaに知らせる必要があるのね。

だからモデル学習時のコールバックにもPruningを制御する簡単なコードを挟む必要があるよ。

LightGBMの例だとこんな感じ。1

LightGBMのコールバックの書き方についてはLightGBMの進捗をプログレスバーで表示するにもまとめてあるから興味があれば是非見てみてね。

from typing import Optional
from lightgbm.callback import CallbackEnv
import optuna

class LgbmPruningCallback:
    trial: optuna.Trial
    interval: int

    def __init__(self, trial: optuna.Trial, interval: Optional[int] = 10):
        self.trial = trial
        self.interval = interval

    def __call__(self, env: CallbackEnv):

        # {interval}回ごとに判定
        if (env.iteration + 1) % self.interval > 0:
            return

        # validation結果が無い場合はスキップ、あれば先頭のものを使う
        if len(env.evaluation_result_list) == 0:
            return
        entry = env.evaluation_result_list[0]

        # Optunaにstepとスコアを報告
        self.trial.report(entry[2], step=env.iteration)

        # Prunerのルールに引っかかってたら打ち切り
        if self.trial.should_prune():
            raise optuna.TrialPruned(f"Trial was pruned at iteration {env.iteration}")

大事なのはtrial.report(value, step)を実行してiterationとその時のスコアをOptunaに報告するってところと、trial.should_prune()で打ち切りの判定を取得するところ。

ステップ

引数名からも分かるようにOptunaではエポックやイテレーションなどの学習の反復の単位を総称してステップと呼ぶようになってるよ。覚えておこう。

学習のcallbacksに指定する時はobjectiveの引数のtrialをこのコールバックにも渡してあげるようにする。

def objective(trial: optuna.Trial):

    ## ~~省略~~

    booster = lgbm.train(
        params,
        dataset_train,
        valid_sets=dataset_valid,
        num_boost_round=1000,
        callbacks=[
            lgbm.early_stopping(100),
            # trialを引数にしてcallbacksに差し込む
            LgbmPruningCallback(trial),
        ],
    )

    return booster.best_score["valid_0"]["binary_logloss"]

study = optuna.create_study(
    pruner=optuna.pruners.MedianPruner(),
)

study.optimize(objective, n_trials=100)

この例だとMedianPruner × 10イテレーションごとの打ち切り判定になっているから「10回ごとにスコアを確認して、過去の試行におけるそのiteration時点でのスコアの中央値に届いていない場合に学習が打ち切られる」という設定になるよ。

わざわざ10イテレーションごとにしてるのは毎回Optunaにスコアの報告と打ち切りの確認をしてるとそれに時間を取られて学習が遅くなるから。

特にリモートサーバのDBに接続してる場合は必須の工夫だと思うから覚えておくといいかも。

何となく流れがわかったよね?

こんなふうにどんなモデルでもコールバックに同様の処理を仕込むことが出来ればPrunerと組み合わせることが出来る。

逆にコールバックが指定できないライブラリは悲しいことに諦めるしかないんだけど、最近のライブラリは割と何でもコールバックを差し込めるから活用できるケースは多そうだよね。

用意されてるPruner一覧

Prunerの基本的な使い方が分かったところでざっくり一覧を紹介していこう。

ちょっと長くなっちゃったから別の記事にまとめてみたよ。

OptunaのPruner一覧 | Notes for hacks

Samplerの指定

Optunaでは都度の試行の度に指定した範囲内から採用するパラメータの値を選んでくれるアルゴリズムをSamplerって呼んでる。

デフォルトではTPESamplerっていうベイズ最適化の一種が使われるようになってて、必要な場合は任意のものを指定することが出来る。

多分Samplerはあまり変えないと思うんだけど他にもグリッドサーチに使えるGridSamplerやランダムサーチのRandomSamplerなどが用意されてるよ。

Prunerを使った枝刈りとグリッドサーチやランダムサーチを組み合わせて扱いたい場合に便利だね。

TPESampler以外の確率的なSamplerだとCmaEsSamplerっていうのがあって、TPESamplerが最大でも数百~1000回規模の試行数の時に効率が最大化されることを想定しているのに対してこちらは数千回、数万回のオーダーの時に効率的になってくるよう。自分は使ったことない。

Optunaが公式で推してる使い分けはこんな感じ。

  • 計算資源が…
    • 限られてる → TPESampler
    • たくさんある
      • パラメータが…
        • 連続値 → CmaEsSampler or ランダムサーチ
        • カテゴリカル → 遺伝的アルゴリズム or ランダムサーチ

SamplerによってPrunerとの相性の良し悪しもあるみたいで、TPESamplerにはHyperbandPruner, RandomSamplerにはMedianPrunerを使うと良いみたい。

その他のちょっと便利な機能

catch

何十回も学習を繰り返してるとエラーで止まっちゃうこともたまにあるよね。

放置して自動で最適化だ!ってワクワクしながら出かけて後で確認したら割と早い段階でエラー吐いて止まってた。とかね。あるあるだよね。

そういう時はoptimize()catchオプションに無視してほしい例外クラスをTupleで指定しておくとスルーしてくれるようになる。

LightGBMが学習時にraiseしてくるエラーを無視する例はこんな感じ。

from lightgbm.basic import LightGBMError

study.optimize(
  objective,
  n_trials=100,
  catch=(LightGBMError,),
)

これで学習中にLightGBMがエラーを吐いても無視して次のTrialに進んでくれるようになる。その時のTrialのstateはFAILになるよ。

これめっちゃ便利な機能なんだけど、1回エラーになったということは結局また同じようなパラメータの組み合わせで試す時にもエラーになりそうだから欲を言えばTrialをFAILにしてスルーしつつそこらへんのパラメータは避けるようにする(探索済みとしてマークする)的なオプションがあると嬉しいなぁ。

gc_after_trial

これまた何十回も学習を回してると徐々にメモリが逼迫してきがちなことない?gc_after_trialを指定しておけばTrialの後に毎回gc.collect()してくれるようになるよ。

from lightgbm.basic import LightGBMError

study.optimize(
  objective,
  n_trials=100,
  gc_after_trial=True,
)

optuna.logging.set_verbosity()

OptunaはPythonのloggingモジュールに準拠したロギング機構を採用してる。そんでoptuna.logging.set_verbosity()を使うと一括でログレベルを変更できる。

デフォルトだと最適化の進捗を標準出力にずらずらっと出してくる感じになってるから嫌だったら設定を変えておこう。

ログレベルはFATAL ERROR WARN INFO DEBUGの5つ。

import optuna

optuna.logging.set_verbosity(optuna.logging.FATAL)

ダッシュボードによる探索状況の可視化

超ありがたいことにOptunaから別ライブラリとして公開されてるoptuna-dashboardを使うとちょっと洒落た感じのダッシュボードで探索の進行状況を確認することができる。

これは地味に嬉しい…!テンション上がるね!

使い方はGitHubリポジトリを見てくれれば一撃で分かると思うからここでは割愛。

個人的な趣味でHyperbandでPruningしながらLightGBMのパラメータチューニングをした時の結果を例にどんな可視化があるかちょっと紹介するよ。

スコアの散布図

損失関数はmulti_loglossだから値が小さいほどベターなやつ。横軸が右に進んでいくにつれて探索が徐々に収束してきてるのが分かるね。

01 history

Parallel Coordinates

なんかこういうの可視化でよくあるよね。良い感じのゴールに対して線が集中してるところが良い組み合わせ、みたいなそういう感じかな?

02 parallel coordinate

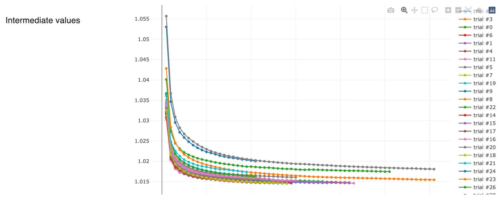
各トライアルの学習履歴

コールバック内のtrial.report()で送信したスコアも確認できる。割と後から挽回するパターンも多いみたいだね。

03 intermediate values

スコアの累積出現率

探索をうまく収束させられてない時はこの図がガクンとした崖状になるよ。この例は割と良い感じに進んでるっぽいパターン。

04 edf

パラメータ重要度

試行を重ねると順位がめっちゃ入れ替わったりするから参考程度に。明らかに重要じゃないパラメータが上位に来てたら何かがおかしい!とかそういう検出にも使えるかも。

05 hyperparameter importance

パラメータ × スコアの散布図

これは結構参考になる。独立して重要なパラメータは単体でもかなり傾向出てくる感じ。この例だとbagging_fractionは0.6~0.8ぐらいが良いみたいだね。

06 slice

トライアルのログ

実際のスコアとパラメータの組み合わせを一覧で見れるのも地味に便利。

07 trials

まとめ

書いてるうちにどんどん色々書きたくなっちゃって記事がすごい長くなったよ。

Optunaの素晴らしさの一端を少しでも紹介できてると嬉しいな。

まだまだ紹介しきれてない機能が全然あるから是非公式ドキュメントの方もチェックしてみてね。

スキルが圧倒的に足りないとは思うけどめちゃめちゃお世話になってるからいつかコントリビュートして恩返ししたい。

Optuna、いつもありがとう!


  1. 仕組みの解説のためにコールバックの実装例を載せたけど、実はOptunaのLightGBM用integrationではほとんど同じ動作をするLightGBMPruningCallbackっていうやつを用意してくれてるからそっちを使ってもOK。 個人的にはこういう外部ライブラリ連携系のインターフェースってどうしてもメンテが後回しになりがちで最新版に追従できてないがちな印象があるから気に入ったやつは自分で書いちゃうスタイルが好み。